Matrix Exercises With Answers Pdf Mar 31 1999 nbsp 0183 32 wlsk
matrix matrix Dec 22 2021 nbsp 0183 32 183 Keanu Reeves 183 Carrie Anne Moss
Matrix Exercises With Answers Pdf

Matrix Exercises With Answers Pdf
http://www.worksheeto.com/postpic/2014/09/matrix-algebra-2-worksheet_111408.png

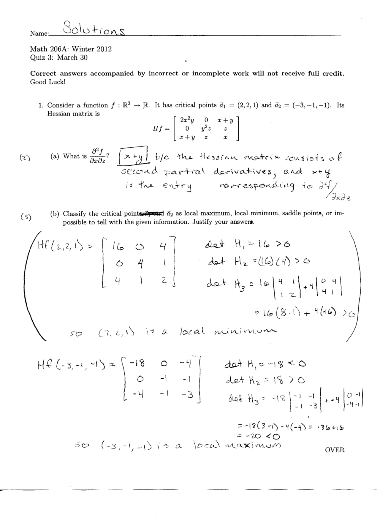
Hessian Matrix Multivariable Solved Quiz Exercises Calculus Docsity
https://static.docsity.com/documents_first_pages/2013/03/21/60ebe7e854bc4ae294ba41e013f45cac.png?v=1673995129

Biochemistry MCQ Questions With Answers PDF MCQ Questions MCQs In
https://rg5561.com/5f912a3e/https/def3fc/mcqquestions.in/wp-content/uploads/2021/08/Biochemistry-MCQ-Questions-With-Answers-PDF.webp
Mar 5 2013 nbsp 0183 32 The amsmath package also offers the shortcut matrix environments which default to centered alignment for their columns matrix unbracketed matrix pmatrix matrix surrounded Matrix Matrix Matrix
Sep 3 2016 nbsp 0183 32 I suggest you load the amsmath package employ its the bmatrix quot bracketed matrix quot environment and use dots or ldots vdots quot vertical dots quot and ddots quot diagonal Mar 18 2017 nbsp 0183 32 General question instead of debugging question math mode How to add a matrix to a LaTeX document TeX LaTeX Stack Exchange user202729 Commented Feb 8
More picture related to Matrix Exercises With Answers Pdf

Matrix Workout Hero Workouts Workout Sheets Darbee Workout
https://i.pinimg.com/originals/78/45/f2/7845f260041a637c258a3bf8432530d5.jpg

Matrices Worksheet With Answers Pdf
https://www.semesprit.com/wp-content/uploads/2018/08/matrices-worksheet-with-answers-pdf-with-kidney-coloring-of-matrices-worksheet-with-answers-pdf-1.gif

Sahne Bez glich Durchh ngen Math Equation Puzzle Vorher Sturm Eiche
https://matheasily.com/WS/00021-math-picture-puzzles-2.jpg
Nov 5 2003 nbsp 0183 32 The Matrix Matrix I Matrix III Jun 16 2018 nbsp 0183 32 Off topic instead of providing lots of empty columns presumably to increase the separation between quot real quot columns right it would be much more efficient if you a replaced
[desc-10] [desc-11]

MCQ Questions For Class 8 Science Chapter 8 Cell Structure And
https://ncertmcq.com/wp-content/uploads/2021/11/mcq-questions-for-class-8-science-chapter-8-cell-structure-and-functions-with-answers.jpeg
Solved In The Following Exercises An Augmented Matrix That
https://www.coursehero.com/qa/attachment/15483182/
Matrix Exercises With Answers Pdf - [desc-14]