Does Pension Affect Child Maintenance Nov 13 2015 nbsp 0183 32 do does did 1 do does did do does 2 do
What do what does quot What do quot quot What does quot quot What do quot Jun 10 2012 nbsp 0183 32 do doing done does did do do doing done did
Does Pension Affect Child Maintenance
Does Pension Affect Child Maintenance
https://imgv2-2-f.scribdassets.com/img/document/623390214/original/9a0c899b7b/1717321688?v=1
Child Maintenance Descargar Gratis PDF Witness Family
https://imgv2-2-f.scribdassets.com/img/document/633818952/original/43d3cd7aad/1721408696?v=1
Your Centrelink Statement For Parenting Payment Reference 207 828
https://imgv2-2-f.scribdassets.com/img/document/510634137/original/61e7639c93/1703022602?v=1
Aug 30 2010 nbsp 0183 32 quot quot Does be is May 9 2022 nbsp 0183 32 1 DM 2 3
Not only but also Not only did he help his sister with her homework but also he cooked a meal for his mother 1 s works gets says reads 2 ch sh s x o es go goes teach teaches wash
More picture related to Does Pension Affect Child Maintenance
Honours Project Paper Child Maintenance PDF Child Support Malaysia
https://imgv2-2-f.scribdassets.com/img/document/726493388/original/d877d8fa36/1724081474?v=1
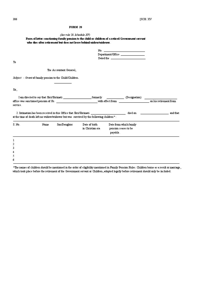
Form 20 Form Of Letter Sanctioning Family Pension To The Child Children
https://imgv2-1-f.scribdassets.com/img/document/628471502/original/222bfb320a/1720578233?v=1

What Is Child Maintenance YouTube
https://i.ytimg.com/vi/sCF7IVA78U8/maxresdefault.jpg
Oct 1 2022 nbsp 0183 32 403 R2017a Helvetica MATLAB
[desc-10] [desc-11]

UK Pension Tax Relief Your Ultimate Guide YouTube
https://i.ytimg.com/vi/xG8Ntnob6bA/maxresdefault.jpg

SOCIAL SECURITY UPDATE INCREASE COMING FOR DISABLED VETERANS AND
https://i.ytimg.com/vi/IaM7KxxmwfA/maxresdefault.jpg
Does Pension Affect Child Maintenance - Not only but also Not only did he help his sister with her homework but also he cooked a meal for his mother