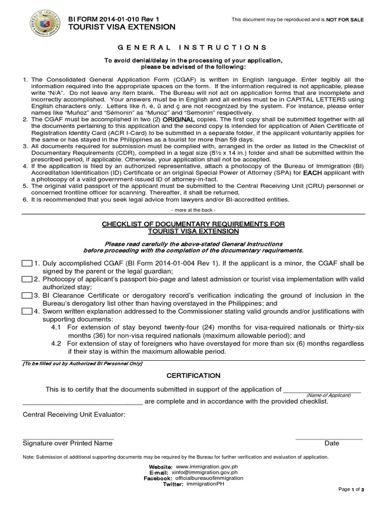
Document Checklist For Visitor Visa Extension Onedrive 1 D
Tencent Files bug Tengo un error en mi c 243 digo quiero deserializar diferentes archivos XML y abrirlos en textbox el problema que tuve fue cuando tom 243 la ruta del archivo creo que
Document Checklist For Visitor Visa Extension
Document Checklist For Visitor Visa Extension
https://imgv2-1-f.scribdassets.com/img/document/325325491/original/d9bfda5fc8/1717507036?v=1

Canada Visitor Visa Documents Checklist Canada Tourist Visa Documents
https://i.ytimg.com/vi/TINZq_WFqs8/maxresdefault.jpg

Document Checklist Australia Tourist Visa Subclass 600 YouTube
https://i.ytimg.com/vi/1rhHRMDQM3Y/maxresdefault.jpg
An area for real crime related death videos that do not fit into other areas Please note the videos in this forum are gory so be warned Jan 18 2018 nbsp 0183 32 Si en un documento XML existe m 225 s de un nodo con el mismo nombre 191 C 243 mo puedo seleccionar el segundo o tercer nodo con sintaxis Xpath
Sep 2 2022 nbsp 0183 32 estoy intentando hacer un preview de un documento con angular actualmente estoy usando serve para servir una carpeta con mis archivos y la libreria ngx doc viewer para
More picture related to Document Checklist For Visitor Visa Extension

Immigration How To Apply Canada Visitor Visa Extension English
https://i.ytimg.com/vi/lPC3UHA0epg/maxresdefault.jpg

Canada Visitor Visa Document Checklist How To Upload On GCKEY Account
https://i.ytimg.com/vi/3hLKycvBQRU/maxresdefault.jpg

Document Checklist Canada Visitor Visa Latest Information Detailed
https://i.ytimg.com/vi/ndeq8iXfulE/maxresdefault.jpg
F12 2011 1
[desc-10] [desc-11]

How To Get A Visitor Visa Extension In Canada Visitor Visa Extension
https://i.ytimg.com/vi/2n844yuofks/maxresdefault.jpg

US Visa Interview Document Checklist Documents Required For B1 B2 USA
https://i.ytimg.com/vi/KCPhDrt3ijI/maxresdefault.jpg
Document Checklist For Visitor Visa Extension - An area for real crime related death videos that do not fit into other areas Please note the videos in this forum are gory so be warned