Document Checklist For Canadian Citizenship Application May 5 2010 nbsp 0183 32 Real Death Pictures Warning Graphic Images This area is for all crime related death pictures that do not fit into other areas Please note the
May 4 2023 nbsp 0183 32 console log document cookie Cookie 3 amp Cookie Documenting real life true crime cases as well as the images and videos that go with them
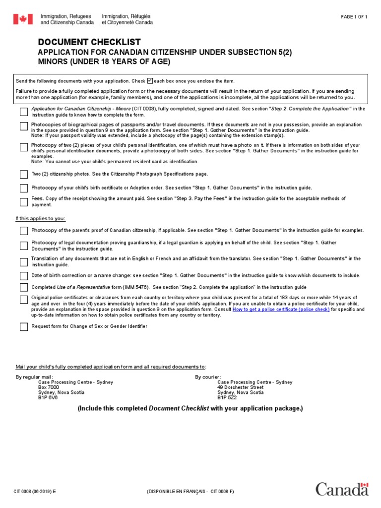
Document Checklist For Canadian Citizenship Application
Document Checklist For Canadian Citizenship Application
https://imgv2-2-f.scribdassets.com/img/document/442464136/original/e6a2d6b401/1704721988?v=1

Apply For Canadian Citizenship Application 2023 Canada Immigration
https://i.ytimg.com/vi/SH2B67UQd90/maxresdefault.jpg

My Canadian Citizenship Oath Taking Ceremony 2022 online
https://i.ytimg.com/vi/DWHOayZgM9E/maxresdefault.jpg
citekey article book inproceedings LaTeX DOM Document Object Model 3 XML XML Extensible Markup Language 1
Forum rules for Documenting Reality This site does not condone violence As the name suggests we simply document the reality of the world in which we live in Granted sometimes that does 1 F12 Fn F12
More picture related to Document Checklist For Canadian Citizenship Application

How I Became A Canadian Citizen Ceremony Timeline Passport
https://i.ytimg.com/vi/S3aQThib5lY/maxresdefault.jpg

Canadian Citizenship Application Adult CIT0002 Physical Presence
https://i.ytimg.com/vi/aykgNZcWuw8/maxresdefault.jpg

Canadian Citizenship Virtual Oath Taking Ceremony A Complete Guide
https://i.ytimg.com/vi/30Nq7y4YF6k/maxresdefault.jpg
2011 1 SmartKids Python Excle CNN Yann LeCun 1998 Gradient based learning applied to document recognition
[desc-10] [desc-11]

Congratulations For Canada Immigration Facebook 50 OFF
https://www.immigroup.com/wp-content/webpc-passthru.php?src=https://www.immigroup.com/wp-content/uploads/AOR-Letter-Sample-500x500.jpg&nocache=1

Permanent Resident Card Renewal Online Application How To 40 OFF
https://icycanada.com/wp-content/uploads/2023/01/Screenshot-92.png
Document Checklist For Canadian Citizenship Application - DOM Document Object Model 3 XML XML Extensible Markup Language 1