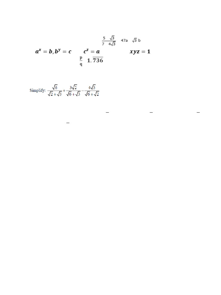
Class 9 Chapter Number System Formulas
N 227 o est 225 no seu computador Use uma janela de navega 231 227 o privada para fazer login Saiba como usar o modo visitante Non si tratta del tuo computer Utilizza una finestra di navigazione privata per accedere Scopri di pi 249 sull utilizzo della modalit 224 Ospite
Class 9 Chapter Number System Formulas
Class 9 Chapter Number System Formulas
https://imgv2-1-f.scribdassets.com/img/document/782608506/original/88b9db1826/1730727766?v=1

NCERT Class 9 Maths Mind Maps YouTube
https://i.ytimg.com/vi/DaFtB87iYDo/maxresdefault.jpg

Class 9 Maths Chapter 1 Number Systems Introduction New NCERT
https://i.ytimg.com/vi/AHE-3BpKqxs/maxresdefault.jpg
Eik 246 t 228 m 228 ole oma tietokoneesi Avaa yksityinen selausikkuna ja kirjaudu sis 228 228 n Lue lis 228 228 Guest Moden k 228 yt 246 st 228 Google Classroom
Google Classroom Bukan komputer Anda Gunakan jendela penjelajahan rahasia untuk login Pelajari lebih lanjut cara menggunakan Mode tamu
More picture related to Class 9 Chapter Number System Formulas

Class 9 Maths Chapter 1 Number Systems Case Study Question 9th Class
https://i.ytimg.com/vi/Q5NHArlROO0/maxresdefault.jpg

Number Systems Most Important Questions Part 6 Class 9 Maths
https://i.ytimg.com/vi/NFhh_gmTfxw/maxresdefault.jpg

Top 15 Important Questions Class 9 MATHS I Class 9 Maths Coordinate
https://i.ytimg.com/vi/kHVpjqXeOZU/maxresdefault.jpg
191 Esta no es tu computadora Usa una ventana de navegaci 243 n privada para acceder M 225 s informaci 243 n para usar el modo de invitado Niet jouw computer Gebruik een venster voor priv 233 browsen om in te loggen Meer informatie over het gebruik van de gastmodus
[desc-10] [desc-11]

Class 9 Maths Class 9 Chapter Number System Rational Numbers
https://i.ytimg.com/vi/3IiClvocZaE/maxresdefault.jpg

NCERT Maths Class 9 Chapter Number System Exercise 1 3 Question 6
https://i.ytimg.com/vi/PoQMcFg4seY/maxresdefault.jpg?sqp=-oaymwEoCIAKENAF8quKqQMcGADwAQH4Ac4FgAKACooCDAgAEAEYZSBZKFUwDw==&rs=AOn4CLDNBkqNivFUnbZ24c23uiAKplGTJw
Class 9 Chapter Number System Formulas - Google Classroom