Class 11 Physics Chapter 7 Exercise Solutions Gravitation Build wonderful classroom communities with parents and students
Class Charts is super fast behavior management software creating school seating plans in seconds Link our behavior amp seating plan software with SIMS Powerschool amp more
Class 11 Physics Chapter 7 Exercise Solutions Gravitation

Class 11 Physics Chapter 7 Exercise Solutions Gravitation
https://www.tiwariacademy.com/app/uploads/2023/04/7-Maths-NCERT-Solutions-Chapter-1-1.jpg

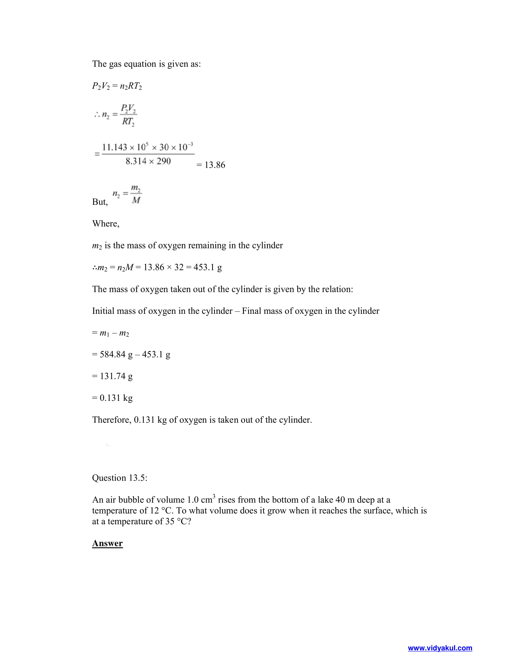
Class 11th Physics Kinetic Theory NCERT Solution CBSE 2023
https://d2n7zouke881gi.cloudfront.net/NCERT+Class+11/physics/img/ncert+solutions+for+class+11+physics+Chapter+13+Kinetic+Theory/ncert+solutions+for+class+11+physics+chapter+13+Kinetic+Theory-06.jpg

Class 11 Physics Chapter 8 Gravitation Notes Vidyakul
https://d2n7zouke881gi.cloudfront.net/CBSE+Class+11+notes/physics/img/11_physics_notes_ch08/11_physics_notes_ch08-1.jpg
ClassE provides education networks with high quality exercises that analyze knowledge alongside skills and allow teachers and administrators to get an in depth picture at the student class and For the teacher Classit provides an in depth assessment of the class progress Classit includes emotional and meta cognitive diagnostic components that complete the picture and lead it to
Class brings a complete virtual classroom solution that s truly built for better learning Consolidate your app windows unburden your instructors and bring the best online education possible Class allows instructors to replicate an in person classroom experience in an online environment Built on Zoom Built for Education
More picture related to Class 11 Physics Chapter 7 Exercise Solutions Gravitation

RBSE Book Class 11 Physics Chapter 7 System Of Particles And Rotational
https://cdn.aglasem.com/aglasem-doc/bc8c3680-4740-11ea-8967-02f21f5619c4/16.jpg

NCERT Solutions For Class 11 Physics Chapter 7 Gravitation Question
https://cdn.aglasem.com/aglasem-doc/e22dc95c-be48-11e9-bb38-02f21f5619c4/11.jpg

Gravitation NCERT Solutions Part 1 Class 9th Science Chapter 9
https://i.ytimg.com/vi/9XGGtiej6fM/maxresdefault.jpg
Connect with your classes and do assignments on the go CLASS definition 1 a group of students who are taught together at school college or university 2 a period of Learn more
[desc-10] [desc-11]

2 6 Ncert Physics Class 11 Chapter 2 Ncert Exercise 2 Q 2 6 Solution
https://i.ytimg.com/vi/_pge6A5zyd4/maxresdefault.jpg

Important Questions For Class 11 Physics Chapter 7 Gravitation BYJU S
https://cdn1.byjus.com/wp-content/uploads/2018/11/physics/2017/10/06085548/3-png6.png
Class 11 Physics Chapter 7 Exercise Solutions Gravitation - Class brings a complete virtual classroom solution that s truly built for better learning Consolidate your app windows unburden your instructors and bring the best online education possible