What Can Cause A Car To Accelerate On Its Own I can t hear you Aye aye captain Ooh Who lives in a pineapple under the sea SpongeBob SquarePants Absorbent and yellow
Sep 9 2024 nbsp 0183 32 CAN BOX win r services msc Realtek audio Universal Service Realtek audio
What Can Cause A Car To Accelerate On Its Own

What Can Cause A Car To Accelerate On Its Own
https://i.ytimg.com/vi/4C4tBKeXeKY/maxresdefault.jpg?sqp=-oaymwEmCIAKENAF8quKqQMa8AEB-AG-B4AC0AWKAgwIABABGGUgZShlMA8=&rs=AOn4CLAx_f5b3EJFP60l2ynUIXhKdDMfnw

What Causes A Car To Shake When Accelerating See Scenarios
https://mycarmakesnoise.com/wp-content/uploads/2021/11/car-Accelerating.jpg

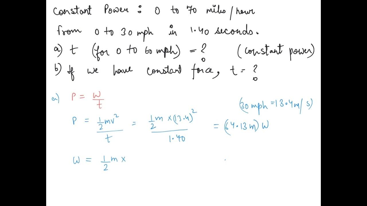
Calculating Acceleration of A Car WORKED EXAMPLE GCSE Physics
https://i.ytimg.com/vi/pRIPOc-lrfA/maxresdefault.jpg
error can t connect service What can i say Mamba out TV 888
12306APP Mar 14 2018 nbsp 0183 32 Ctrl Shift Enter Ctrl Shift Enter
More picture related to What Can Cause A Car To Accelerate On Its Own
:max_bytes(150000):strip_icc()/black-sports-car-driving-on-dry-lake-bed-532419946-59acb87822fa3a00119e88c2.jpg)
Car Revs But Doesn t Accelerate
https://www.thoughtco.com/thmb/Udi37t6lRemsaOCUohMp9fG1o0M=/1500x0/filters:no_upscale():max_bytes(150000):strip_icc()/black-sports-car-driving-on-dry-lake-bed-532419946-59acb87822fa3a00119e88c2.jpg

Why Does My Car Lag When I Accelerate
https://media-blog.zutobi.com/wp-content/uploads/sites/2/2021/09/01154719/car-does-not-accelerate-scaled.jpg?w=1920&auto=format&ixlib=next&fit=max

5 Reasons Car Wont Accelerate But RPMs Go Up YouTube
https://i.ytimg.com/vi/jz1-rumP_OI/maxresdefault.jpg
Please verify the CAPTCHA before proceed Can could 1 can 2 could can 1
[desc-10] [desc-11]

Why Does My Car Hesitate To Accelerate
https://i.ytimg.com/vi/i91otNZjBdQ/maxresdefault.jpg

My Car Accelerates Without Hitting Gas Cause And Quick Fix
https://sanedriver.com/wp-content/uploads/2022/04/PicsArt_04-22-11.11.44.jpg
What Can Cause A Car To Accelerate On Its Own - [desc-14]