The Remainder And Factor Theorems Worksheet Answers In the polynomial function f x defined above using Remainder Theorem find the remainder when f x is divided by 2 3x Problem 3 2x 4 3x 3 2kx 2 3x 6 Find the value of k for which the polynomial above is divisible by x 2 Problem 4 x 3 4x 2 2x 20 Using Factor Theorem show that x 2 is a factor of the polynomial
Example 2 Use the Steps for Long Division to divide each of the polynomials below Example 3 Check your answer for the division problems in Example 2 If r x 0 then d x and q x are factors of f x Example 4 Perform the operation below Write the remainder as a rational expression remainder divisor Remainder Theorem and Factor Theorem Remainder Theorem When a polynomial f x is divided by x a the remainder is f a 1 Find the remainder when 2x3 3x2 17 x 30 is divided by each of the following a x 1 b x 2 c x 3 d x 1 e x 2 f x 3 Factor Theorem If x a is substituted into a polynomial for x and the remainder is 0 then x a is a factor of the
The Remainder And Factor Theorems Worksheet Answers

The Remainder And Factor Theorems Worksheet Answers
https://study.com/academy/practice/quiz-worksheet-applying-the-remainder-theorem-factor-theorem.jpg

Circle Theorems Gcse Worksheet
https://i0.wp.com/corbettmaths.com/wp-content/uploads/2019/09/Circle-Theorems-TE.png?fit=1120%2C1012&ssl=1

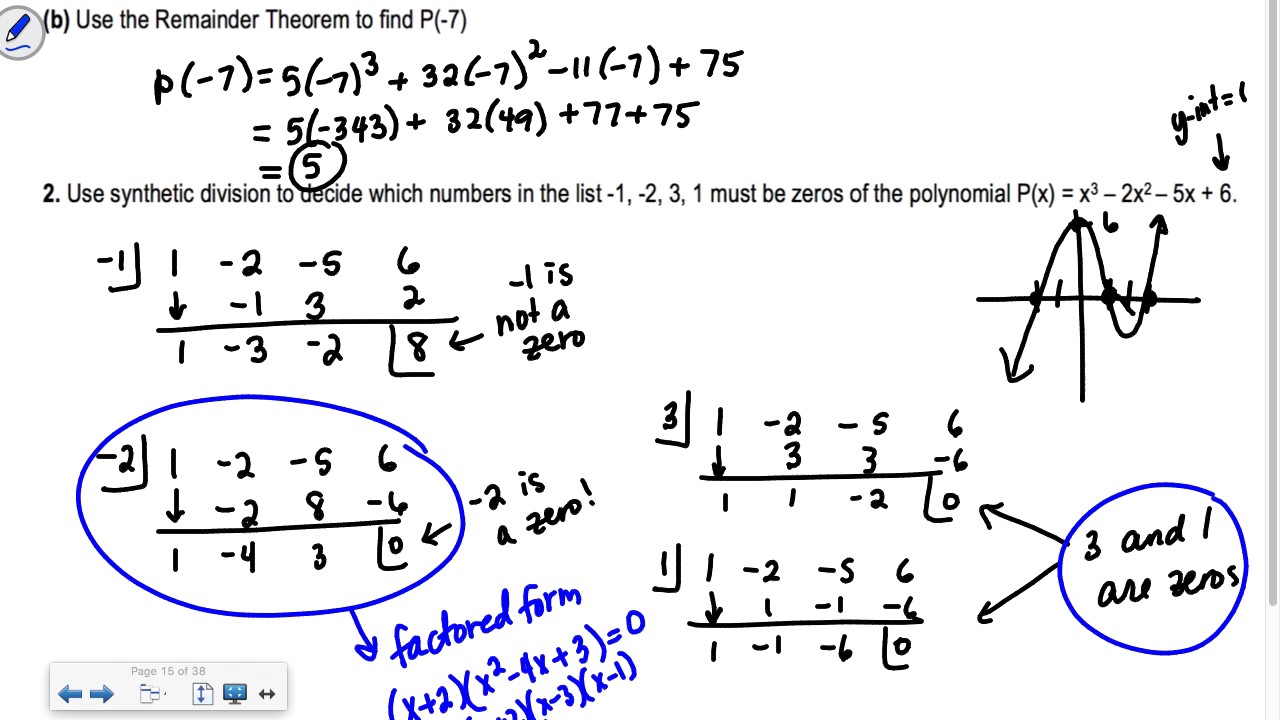
Remainder Factor Theorems 1
https://s3.studylib.net/store/data/006738946_1-68e2cbed19f62a2b91622542e6ea38f3-768x994.png
And Factor Theorem Or how to avoid Polynomial Long Division when finding factors Do you remember doing division in Arithmetic 7 divided by 2 equals 3 with a remainder of 1 Each part of the division has names Which can be rewritten as a sum like this Polynomials Well we can also divide polynomials f x d x q x with a remainder The remainder theorem provides us with a quick and efficient way of calculating the remainder when a polynomial is being divided by a linear of the type g x x c For instance say we re dividing f x 2x3 5x2 4x 3 by g x x 2 then the remainder theorem allows us to quickly state that the remainder of this division is f 2
Examples solutions videos and worksheets to help Algebra II students learn about the factor theorem and the remainder theorem How to use the Factor Theorem to determine whether a binomial is a factor of the given polynomial There are two sets of factor theorem worksheets Factor theorem with cubic equations Factor theorem with quartic or The Remainder and Factor Theorem MULTIPLE CHOICE Choose the one alternative that best completes the statement or answers the question Answer Key Testname THE REMAINDER AND FACTOR THEOREM 1 D 2 C 3 C 4 B 5 C 6 B 7 C 8 C 9 D 10 C 11 A 2 Title The Remainder and Factor Theorem tst
More picture related to The Remainder And Factor Theorems Worksheet Answers

Section 7 4 Algebra 2 The Remainder And Factor Theorems YouTube
https://i.ytimg.com/vi/wz_3FHedGkA/maxresdefault.jpg

Algebra 2 The Remainder And Factor Theorems YouTube
https://i.ytimg.com/vi/7-pdYSmROQQ/maxresdefault.jpg

The Remainder Theorem Top Online General
https://toponlinegeneral.com/wp-content/uploads/2019/10/Screenshot_66.png
This page titled 3 4 Factor Theorem and Remainder Theorem is shared under a CC BY SA 4 0 license and was authored remixed and or curated by David Lippman Melonie Rasmussen The OpenTextBookStore via source content that was edited to the style and standards of the LibreTexts platform a detailed edit history is available upon request The Remainder and Factor Theorem Worksheet Use the Remainder Theorem to find the remainder for each division State whether the binomial is a factor of the polynomial O O Answers IOx 3 x 3 0 Yes 2x4 4x3 9 x 1 6 No 5 Factor completely using synthetic division One zero is given
To build an understanding of the Remainder and Factor Theorems by providing concentrated practice ACTIVITY Students will complete questions related to mastery of the concepts for finding roots of polynomials whose degree is greater that two by using synthetic division Remainder Theorem and Factor Theorem for upper level mathematics courses Theorems on Polynomials Functions Liveworksheets transforms your traditional printable worksheets into self correcting interactive exercises that the students can do online and send to the teacher Remainder Theorem and Factor Theorem interactive worksheet Live Worksheets

42 The Remainder And Factor Theorems Worksheet Answers Worksheet Database
https://www.radfordmathematics.com/algebra/polynomial-functions-equations/remainder-theorem-illustration-2.png

The Remainder And Factor Theorems Worksheet
https://i.ytimg.com/vi/zIlfLHoQsIc/maxresdefault.jpg
The Remainder And Factor Theorems Worksheet Answers - The remainder theorem provides us with a quick and efficient way of calculating the remainder when a polynomial is being divided by a linear of the type g x x c For instance say we re dividing f x 2x3 5x2 4x 3 by g x x 2 then the remainder theorem allows us to quickly state that the remainder of this division is f 2