Spanish Language Practice Exercises Free Spanish for Beginners easy Spanish lessons and exercises The alphabet how to say hello numbers directions days months seasons
With our free mobile app and web everyone can Duolingo Learn Spanish with bite size lessons based on science Spanish espa 241 ol or Castilian castellano is a Romance language of the Indo European language family that evolved from the Vulgar Latin spoken on the Iberian Peninsula of Europe
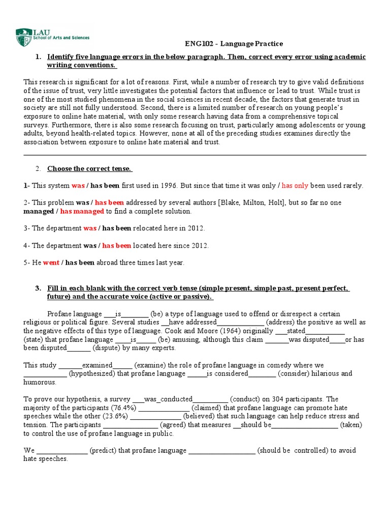
Spanish Language Practice Exercises
Spanish Language Practice Exercises
https://imgv2-1-f.scribdassets.com/img/document/627684553/original/29ffa11428/1715897439?v=1

The Spanish Language Worksheet For Students To Learn And Practice Their
https://i.pinimg.com/736x/f8/c9/86/f8c9862eec55b807edecaac3e35d6212.jpg

Pronombres Personales Online Exercise For Todos Speech And Language
https://i.pinimg.com/originals/10/b8/20/10b820e2ba9bbc38740207d0906178bb.jpg
Learn Spanish with our free online tutorials with audio cultural notes grammar vocabulary verbs drills and links to helpful sites Learn Spanish with free content from Lingolia Articles about grammar vocabulary lists interactive reading and listening comprehension and much more
5 days ago nbsp 0183 32 Instantly translate Spanish to English online for free Support 200 languages Fast accurate and easy Perfect for learners travelers and professionals Every free Spanish lesson includes a vocabulary list dialogues and texts with translation grammar explanations and audio recorded by native speakers
More picture related to Spanish Language Practice Exercises
![]()
Spanish Language Tutor Hyperspace ai
https://storage.googleapis.com/hyperspace-d7aca.appspot.com/image-thumbnail-UTAFC173M822F1QnYGIkr2EA5E7q0J6q.png

Urdu LIve Worksheet Grade 3 Online Exercise For Live Worksheets
https://www.liveworksheets.com/sites/default/files/styles/worksheet/public/def_files/2023/6/5/306052052394597841/306052052394597841001.jpg?itok=nR-rs9Xd

PDF UHAKIKI WA KAZI ZA FASIHI ANDISHI Kiswahili Notes Form 50 OFF
https://www.tellmeinspanish.com/wp-content/uploads/2022/11/How-the-Spanish-Alphabet-Sounds.jpg
This website was designed to help you learn Spanish the easy way through several audio visual resources like images recordings dialogues videos and more Learn with complete Spanish Spanish espa 241 ol castellano Spanish is a Romance language with approximately 470 million speakers 410 of whom speak it as a first language while the remainder speak it as a second
Learn Spanish For those navigating life in Spanish speaking regions language proficiency is not just a convenience but often a necessity Whether you re an expat in Mexico City an immigrant Free Spanish translation from SpanishDictionary Most accurate translations Over 1 million words and phrases Translate English to Spanish to English

Grade 8 Grammar Lesson 26 Articles Grammar Worksheets English
https://i.pinimg.com/originals/d8/62/e2/d862e2327e1c3ee311fdd81c0724e841.png

Spanish ABC Exercises Practice The Spanish Alphabet With Fun
https://spanishnow.org/wp-content/uploads/2024/05/PRESENT-estar-conjugation-spanish-1024x536.jpg
Spanish Language Practice Exercises - 5 days ago nbsp 0183 32 Instantly translate Spanish to English online for free Support 200 languages Fast accurate and easy Perfect for learners travelers and professionals