Quadratic Equation Meaning In Nepali QAP quadratic assignment problem tricks 28
x n 1 a 2 x n 2 a 1 x n a 0 quadratic map quadratic recurrence equation quadratic map quadratic recurrence equation quadratic map x n SQP sequential quadratic programming SQP f x 0
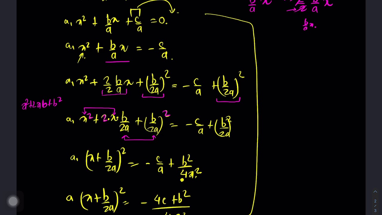
Quadratic Equation Meaning In Nepali

Quadratic Equation Meaning In Nepali
https://i.ytimg.com/vi/4sy4UomdpQg/maxresdefault.jpg

Quadratic Equation Unit 3 In Nepali Language YouTube
https://i.ytimg.com/vi/da9nMgPubFQ/maxresdefault.jpg

Quadratic Equation Verbal Problem Solving Nepali Class 10 YouTube
https://i.ytimg.com/vi/MRhIikaQMOI/maxresdefault.jpg
Quadratic Quadratum Square Quadratum 2 Square 2 2 Quadratic NNs mapping CV backbone neural network
Mar 18 2019 nbsp 0183 32 quadratic quad ax b x k melitz amp amp Ottaviano 2008 quasi linear quadratic utility function
More picture related to Quadratic Equation Meaning In Nepali

Quadratic Equation Important Long Questions In Nepali Quadratic
https://i.ytimg.com/vi/8EcdJCNCxa0/maxresdefault.jpg

Quadratic Equations Class 10 In Nepali ap Class 10 Ncert Class 10
https://i.ytimg.com/vi/q6XszUOSkrE/maxresdefault.jpg

Laptop Ma Nepali Typing Kasari Garne How To Type Nepali Language In
https://i.ytimg.com/vi/AC1cpJbf8oE/maxresdefault.jpg
1 Q linear quadratic linear convergence Q linear LQG linear quadratic gaussian control
[desc-10] [desc-11]

177 Quadratic Equation Introduction In NEPALI Class 9 C Math In
https://i.ytimg.com/vi/1donllfRpm8/maxresdefault.jpg

3 Quadratic Equations One Shot L Algebra L NEB Class 12 L Quadratic
https://i.ytimg.com/vi/y5ESmGqK-0I/maxresdefault.jpg
Quadratic Equation Meaning In Nepali - [desc-12]