Multivariate Analysis Problems Microsoft Visio is used to create diagram types such as flowcharts org charts floor plans network diagrams UML diagrams mind maps and more It is also commonly used for scenarios such
Choose from dozens of premade templates starter diagrams and stencils available in Visio desktop and Visio for the web Bring your ideas to life with Visio s powerful flowchart features 4 days ago nbsp 0183 32 That s where Visio Professional comes in Microsoft designed its software for visualizing complex ideas thanks to pre built templates and over 250 000 shapes
Multivariate Analysis Problems
Multivariate Analysis Problems
https://imgv2-2-f.scribdassets.com/img/document/713854440/original/8da4066dbf/1728030689?v=1
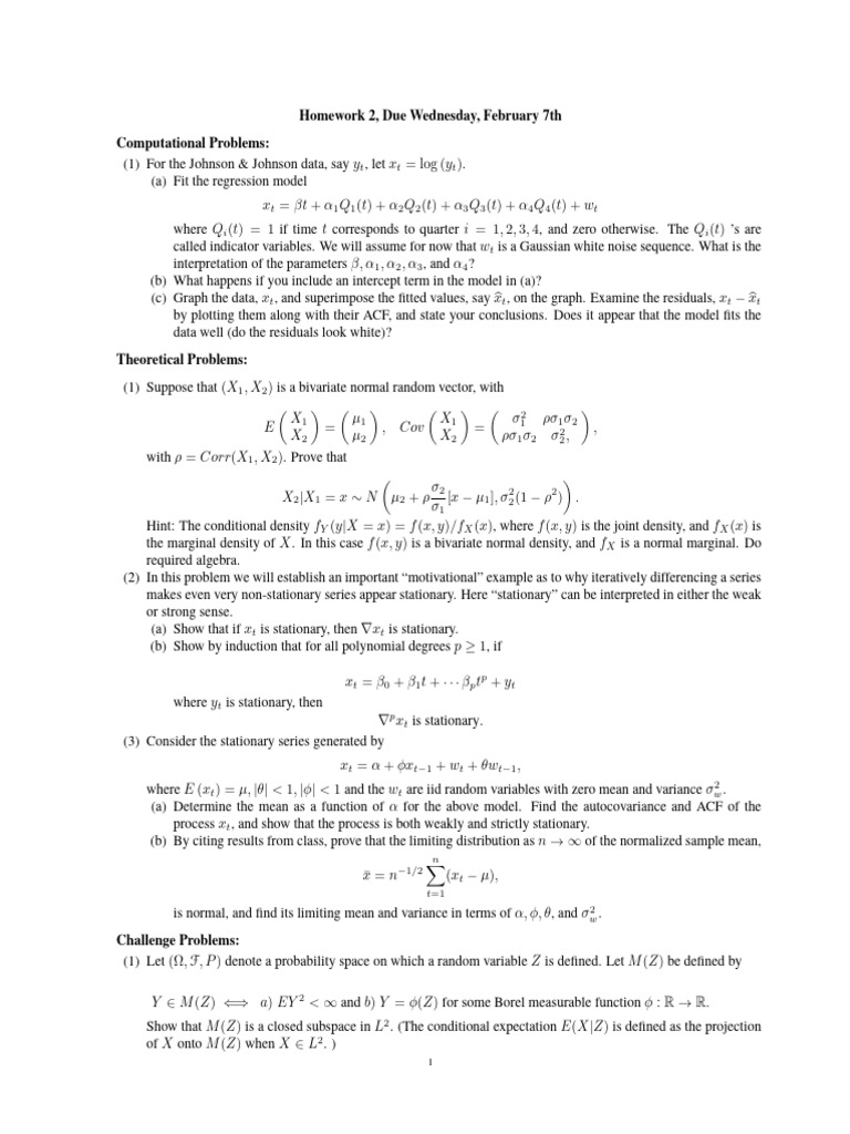
Homework 2 Due Wednesday February 7th Computational Problems PDF
https://imgv2-2-f.scribdassets.com/img/document/783682701/original/b3b2cb5acf/1?v=1

Multivariate Distributions Example 1 YouTube
https://i.ytimg.com/vi/UGOjl-7kilI/maxresdefault.jpg
To install Visio a license must be associated with your Microsoft account or work or school account Which account you use depends upon which version of Visio you have Explore available Visio offerings and compare Visio in Microsoft 365 Visio Plan 1 and Visio Plan 2 to find the right option for you
Choose from an array of professional templates to build everything from a basic sequence to a methodology based process diagram Share edit and view your process map from any Download Microsoft Visio Professional 2024 to turn complex ideas into clear visuals Create flowcharts diagrams org charts and more with templates and shapes
More picture related to Multivariate Analysis Problems

Understanding Multivariate Gaussian Distribution Machine Learning
https://i.ytimg.com/vi/6W2mkOfzitk/maxresdefault.jpg

What Is And How To Use A Multiple Regression Equation Model Example
https://i.ytimg.com/vi/ah-Q79TvBbs/maxresdefault.jpg
Pankaj Bhagwat Ph D
https://pankajbhagwat.github.io/images/ProfilePhotoPankaj.JPG
For a long time Visio was only available to organizations as a separate purchase from Office But now a lightweight web based version of Visio is available for free to Microsoft 365 business Visualize and communicate ideas from virtually anywhere on any device using Visio for the web or Microsoft Teams Collaborate using in app comments and securely share diagrams across
[desc-10] [desc-11]

Flash Eurobarometer 353 Referendum In Ireland Ppt Download
https://slideplayer.com/slide/14043648/86/images/11/Multivariate+analysis%2C+economy.jpg

Multivariate Data Analysis Ppt Download
https://slideplayer.com/slide/13899242/85/images/4/I+Introduction+A+brief+introduction+to+multivariate+problems.jpg
Multivariate Analysis Problems - Choose from an array of professional templates to build everything from a basic sequence to a methodology based process diagram Share edit and view your process map from any