Largest Nfl Contract 2023 Explore the largest countries in the world by area with detailed information and rankings
Not surprisingly the largest country in the world is Russia which spans a vast 17 098 250 km 178 across Eastern Europe and Asia This is followed by Canada 9 879 750 km 178 and its Sep 27 2024 nbsp 0183 32 Explore the largest countries in the world by area from Russia to Canada China and the United States and learn some fascinating facts about them all
Largest Nfl Contract 2023
Largest Nfl Contract 2023
https://imgv2-1-f.scribdassets.com/img/document/669042132/original/80f5343d6e/1712151264?v=1
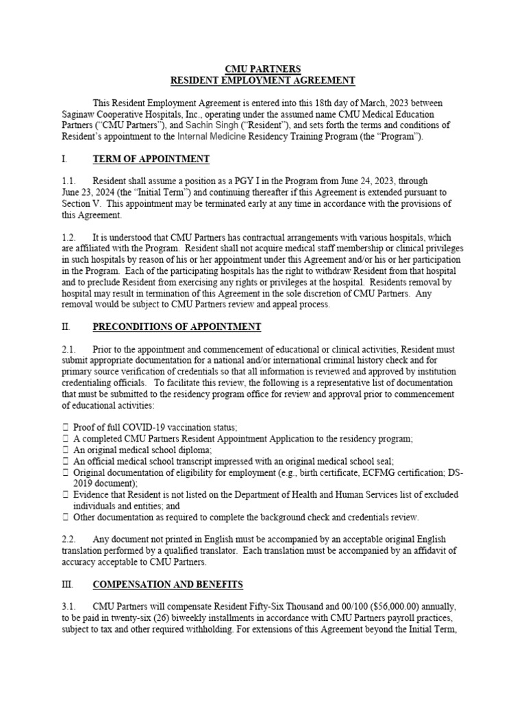
Singh Sachin Contract 2023 PDF Confidentiality Residency Medicine
https://imgv2-1-f.scribdassets.com/img/document/790414793/original/853fa44c00/1?v=1
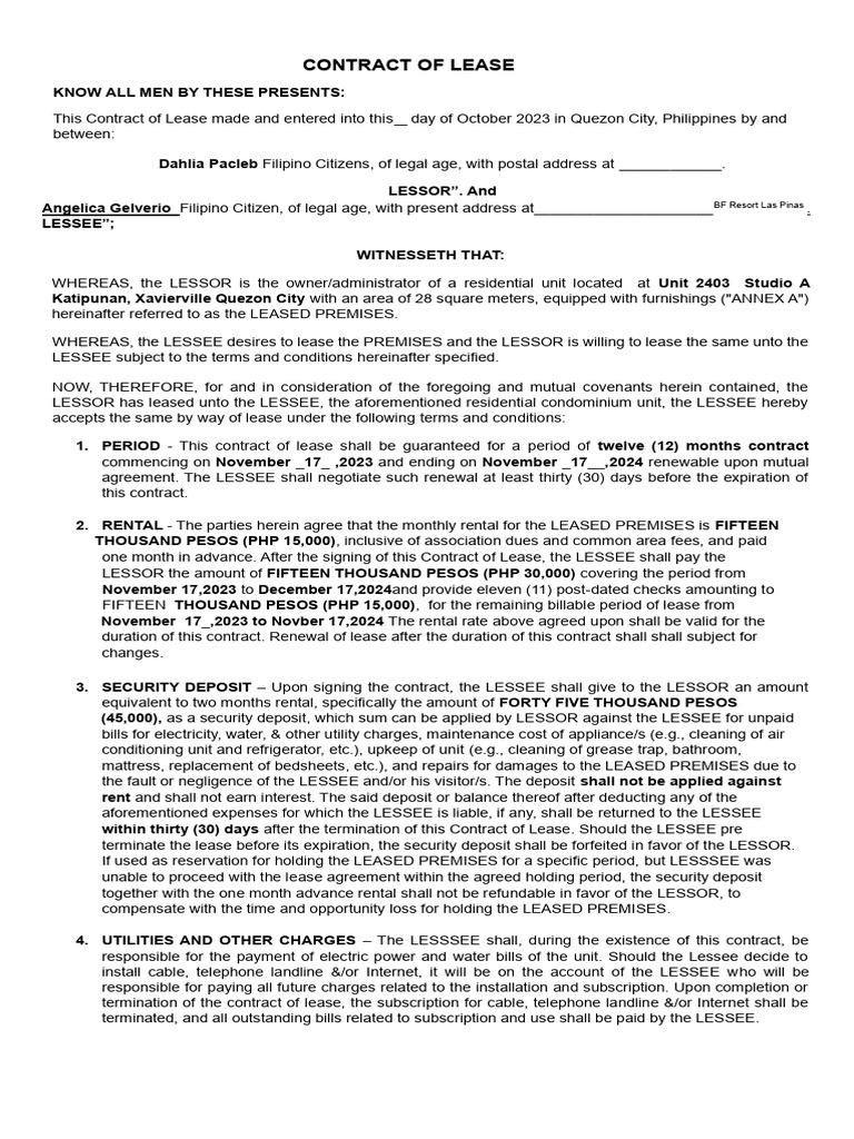
2403 Angelica Gelverio Contract 2023 2024 2 PDF Lease Civil
https://imgv2-2-f.scribdassets.com/img/document/747745295/original/68ec83bd42/1723870880?v=1
The 100 largest countries ranked by their total area with an indication of their location and neighbors sharing land borders with them Jul 20 2025 nbsp 0183 32 When we think of the world s geography the largest countries by land area stand out not just for their sheer size but for their influence on global economics politics and
Jun 10 2025 nbsp 0183 32 Diving into the world s largest countries gives you a glimpse into how geography shapes everything cultures weather even the news headlines These huge places are May 28 2025 nbsp 0183 32 The largest countries in the world are Russia China Canada and the United States with an area of 17 million km2 9 98 million km2 9 7 million km2 and 9 3 million km2
More picture related to Largest Nfl Contract 2023

5 Largest NFL Stadiums That Will Amaze You TFC Stadiums TFC
https://i.ytimg.com/vi/1bDsHIlkzWY/maxresdefault.jpg

Sunday Night Football On NBC On Twitter Quinnen Williams Signed The
https://pbs.twimg.com/media/F08AXeMaQAAbW23.jpg

Nfl Tv Contract 2023 Image To U
https://i.ytimg.com/vi/117dihHTsRU/maxresdefault.jpg
List Of Countries By Size Largest To Smallest 194 Countries In this article we ve compiled a list of the countries in the world based on their total land area The list is ordered from the largest May 24 2025 nbsp 0183 32 The largest countries in the world indeed cover vast territories spanning several climatic zones and habitats from tundra to desert and from lush grasslands to bustling urban
[desc-10] [desc-11]
Hoy expoterrariarepost De an1malfakts Follow For More Animal Facts
https://lookaside.fbsbx.com/lookaside/crawler/media/?media_id=1005511388276210
Commitment Contract 2023 PDF
https://imgv2-2-f.scribdassets.com/img/document/683003310/original/c6212337bf/1719014016?v=1
Largest Nfl Contract 2023 - Jul 20 2025 nbsp 0183 32 When we think of the world s geography the largest countries by land area stand out not just for their sheer size but for their influence on global economics politics and