Important Topic Synonyms Nov 15 2019 nbsp 0183 32 When you Archive a message the only thing that does is remove the Inbox label from the message The original message is still in All Mail along with all your other messages
All Emails Copied into quot Important quot Folder Hi Everyone I am finding that all of the emails from my inbox are automatically copied into my quot important quot mail folder I have tried changing the How to install Chrome Important Before you download you can check if Chrome supports your operating system and other system requirements
Important Topic Synonyms
Important Topic Synonyms
https://lookaside.fbsbx.com/lookaside/crawler/media/?media_id=2924514407701512

Class 1 EVS Worksheet On Water With Free PDF Kids A2z In 2022
https://i.pinimg.com/originals/ad/b6/00/adb60062ba0f9d73cb86fc0410899ec8.jpg
Shoutout To thefirstdegree For Posting This It s Going Viral On
https://lookaside.fbsbx.com/lookaside/crawler/media/?media_id=10232008851339367
The Important label is a system label You can t delete it If you don t use Gmail s importance markers just ignore the label Gmail uses several signals to decide which messages to automatically mark as important including Whom you email and how often you email them Which emails you open Which
May 26 2020 nbsp 0183 32 How to move emails marked as Important to Inbox I have turned off filtering of messages to the quot Important quot folder so hopefully nothing in the future goes there However Add classification labels to your email to indicate that it contains sensitive or important content For example if your email contains confidential information your organization s data policy
More picture related to Important Topic Synonyms

Next Tuesday I ll Be Releasing The Biggest Podcast To Date For The Josh
https://lookaside.fbsbx.com/lookaside/crawler/threads/DGeTvxQTzC9/0/image.jpg

Grade 3 Grammar Topic 27 Synonyms Worksheets Synonym Worksheet
https://i.pinimg.com/originals/2c/ad/d8/2cadd878b5c23321b986543b1178f9a5.jpg
Important Topic Docs PDF Respiratory System Human Reproduction
https://imgv2-1-f.scribdassets.com/img/document/829443524/original/cf9c260d68/1?v=1
Adding dots doesn t change your address so dots aren t why you got someone else s mail Instead the sender probably mistyped or forgot the correct address For example if someone Help Center Community Gmail 169 2025 Google Privacy Policy Terms of Service Community Policy Community Overview Program Policies Enable Dark Mode
[desc-10] [desc-11]
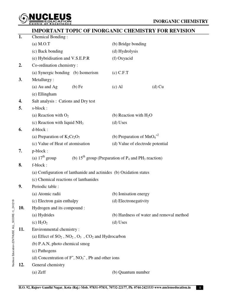
Important Topic Inorganic PDF
https://imgv2-2-f.scribdassets.com/img/document/697252490/original/0f6aed3b15/1706348190?v=1
Effective Gravity JEE Important Topic PDF
https://imgv2-2-f.scribdassets.com/img/document/757997033/original/224c4c66e0/1723457025?v=1
Important Topic Synonyms - May 26 2020 nbsp 0183 32 How to move emails marked as Important to Inbox I have turned off filtering of messages to the quot Important quot folder so hopefully nothing in the future goes there However