Ielts Book 11 Test 4 Reading Passage 3 Answers IELTS Online is the new way to take the IELTS Academic test You can now choose to take the world s leading English language test at home or in a private location with a stable internet
Our IELTS Academic test is what you need to study overseas and is accepted by thousands of top academic institutions across the globe Find out more here IELTS official resources can help you prepare for your success From apps and webinars to training courses and practice tests find what you need here
Ielts Book 11 Test 4 Reading Passage 3 Answers

Ielts Book 11 Test 4 Reading Passage 3 Answers
https://1.bp.blogspot.com/-I6_w7YiNl0E/XwM5JWaUVzI/AAAAAAAAGwo/lBXY4Fw87Cs15O0Yio6B5K5Wf2ykWUeqwCK4BGAsYHg/s729/Screenshot%2B%2528345%2529.png

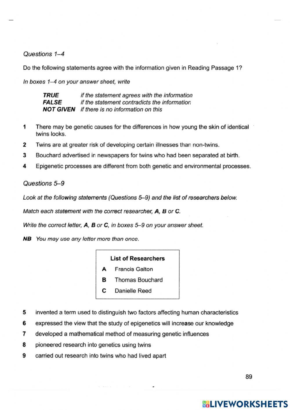
Cam 11 Test 4 Reading 1 Worksheet Live Worksheets
https://www.liveworksheets.com/sites/default/files/styles/worksheet/public/def_files/2022/2/24/202241311562748413/202241311562748413003.jpg?itok=Np6vlUb-

Free Comprehension Worksheets
https://i.pinimg.com/originals/01/08/ed/0108ed0f2b958fab5996d0af4f362c7c.jpg
Free IELTS practice tests and resources to help you prepare Official IELTS partnership preparation tools will get you the results you need to succeed Find information on the different IELTS tests and where they might take you Get advice on how to prepare for your test and get the results you deserve
IELTS the International English Language Testing System was originally launched in 1980 as just quot ELTS quot but rapidly expanded to help people worldwide from 1989 when the IELTS Easy to book with convenient payment options Book now to take your IELTS test online or at one of 1600 test centres across the globe
More picture related to Ielts Book 11 Test 4 Reading Passage 3 Answers

Score 7 Band In IELTS Cambridge Practice Books
http://2.bp.blogspot.com/-64ZvLSv5iYc/Vqsw1jlTbfI/AAAAAAAABj0/XSB8RXBR33Y/s1600/cambridge-ielts-books-series.jpg

Reading Comprehension Worksheets Grade 1
https://www.grade1to6.com/free-ib-worksheets/img/1252452214.jpg

Unseen Passage Evs 1 Notes Teachmint
https://teachmint.storage.googleapis.com/public/134570919/StudyMaterial/366fe24a-fa00-477a-a715-b44a713cc7d1.jpg
IELTS USA supports US higher education and a variety of other US institutions as well as a network of US based IELTS test centers providing a world class English language proficiency We want to make it easy for you to choose the right test to suit your needs Find out where you can go and how the right IELTS test gets you started
[desc-10] [desc-11]

Cambridge IELTS 11 TEST 4 Reading Passage 1 Audio YouTube
https://i.ytimg.com/vi/PJpwmM_X1IE/maxresdefault.jpg?sqp=-oaymwEmCIAKENAF8quKqQMa8AEB-AH-CYAC0AWKAgwIABABGGUgZShlMA8=&rs=AOn4CLDUqPhexXGmTEvDfl37YDGRH0u3CA

IELTS READING PRACTICE TEST 2017 WITH ANSWER And EXPLANATIONS IELTS
https://i.ytimg.com/vi/Ix-qprL5vtk/maxresdefault.jpg
Ielts Book 11 Test 4 Reading Passage 3 Answers - Free IELTS practice tests and resources to help you prepare Official IELTS partnership preparation tools will get you the results you need to succeed