Final Date Meaning Java always makes a copy of parameters before sending them to methods This means the final doesn t mean any difference for the calling code This only means that inside the method the
Dec 1 2017 nbsp 0183 32 How would I display the field private static final int DAMAGE 3 in the UML Diagram Should it be shown as DAMAGE 3 int Aug 25 2009 nbsp 0183 32 Java public final double pi 3 14 essentially a constant C public readonly double pi 3 14 essentially a constant As a side note the effect of the readonly keyword
Final Date Meaning
Final Date Meaning
https://imgv2-1-f.scribdassets.com/img/document/627188430/original/cfc767b9a7/1722359145?v=1
Final DATE SHEET FOR PRE BOARD 1 2024 25 PDF
https://imgv2-1-f.scribdassets.com/img/document/796935730/original/fc3c1e6bb8/1?v=1
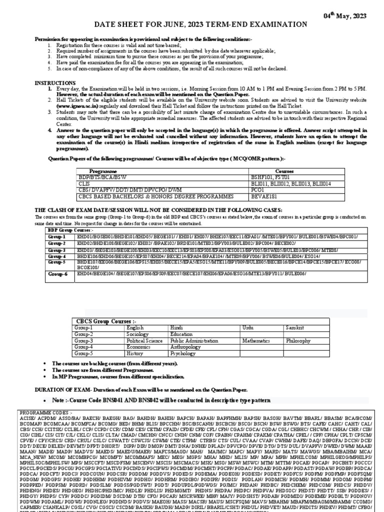
Final Date Sheet For June 2023 Tee 04 05 2023 PDF PDF
https://imgv2-2-f.scribdassets.com/img/document/643708010/original/a8daf75e27/1703801040?v=1
Feb 1 2009 nbsp 0183 32 I can t understand where the final keyword is really handy when it is used on method parameters If we exclude the usage of anonymous classes readability and intent declaration Apr 2 2015 nbsp 0183 32 final and override are independent requirements on either derived or base classes respectively Being final does not require the class member to derive or override anything in
Jan 19 2016 nbsp 0183 32 A final variable means that it can be instantiated only one time in Java you can t reassign non final local variables in lambda as well as in anonymous inner classes NC
More picture related to Final Date Meaning
MAIT B Tech FINAL DATE SHEET FOR END TERM PRACTICAL EXAMS MAY 2024
https://imgv2-2-f.scribdassets.com/img/document/750257569/original/a21b8c5f67/1726336554?v=1

Special Event ST JOHN S EPISCOPAL CHURCH
https://www.stjohnsfallbrook.com/uploads/2/7/2/7/27277375/sj-monserate-animation-sm_orig.gif

Romancelvania Review A Bite Too Much
https://static1.dualshockersimages.com/wordpress/wp-content/uploads/2023/03/romancelvania-review-a-bite-too-much.jpg
Nov 4 2009 nbsp 0183 32 If you have git 1 7 1 or earlier and can t update you can pretty quickly cherry pick them in order by running git cherry pick f 3 then git cherry pick f 2 etc up to git cherry pick f Jan 12 2012 nbsp 0183 32 What is the purpose of the final keyword in C 11 for functions I understand it prevents function overriding by derived classes but if this is the case then isn t it enough to
[desc-10] [desc-11]
Final Date Sheet Mid Semester Examination FALL 2024 Electrical
https://imgv2-2-f.scribdassets.com/img/document/789721313/original/2e83d2ac19/1?v=1
Final Date Sheet June 2023 TEE GOAL PDF Bachelor s Degree
https://imgv2-2-f.scribdassets.com/img/document/697861961/original/749f3e809e/1723016973?v=1
Final Date Meaning - Jan 19 2016 nbsp 0183 32 A final variable means that it can be instantiated only one time in Java you can t reassign non final local variables in lambda as well as in anonymous inner classes