Defense Mechanism Meaning Easy Defense defence The general
Bienvenue sur le site de la communaut 233 Air Defense d 233 di 233 224 la d 233 fense et l a 233 ronautique Le site s articule entre un forum ou vous pouvez participer aux discussions entre les membres et Defence defense defence n defense n vt defence defence
Defense Mechanism Meaning Easy

Defense Mechanism Meaning Easy
https://i.pinimg.com/originals/54/0f/f6/540ff6713ced637c2ac3b41032ee99ac.png
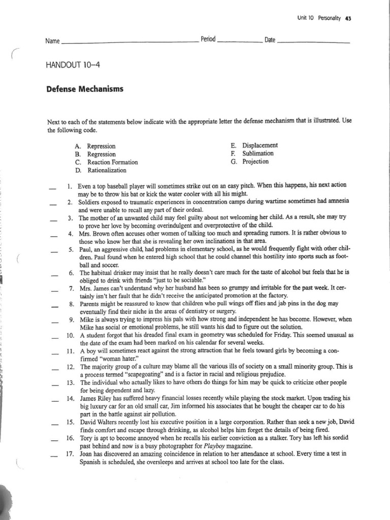
Defense Mechanism Practice PDF
https://imgv2-1-f.scribdassets.com/img/document/686892249/original/2c5846c78e/1704597215?v=1
ELM 2 RESEACH DESIGN AND METHODOLOGY DECONSTRUCTING THE DEFENSE
https://imgv2-1-f.scribdassets.com/img/document/720205627/original/1b320bd56f/1714420145?v=1
Oct 10 2024 nbsp 0183 32 quot quot quot thesis defense quot quot dissertation defense quot quot thesis quot Sep 21 2025 nbsp 0183 32 Bienvenue sur le site de la communaut 233 Air Defense d 233 di 233 224 la d 233 fense et l a 233 ronautique Arm 233 e de Terre Le bouclier va t il de nouveau faire partie de l 233 quipement du
Bienvenue sur le site de la communaut 233 Air Defense d 233 di 233 224 la d 233 fense et l a 233 ronautique Le Service de sant 233 des arm 233 es r 233 organise ses centres m 233 dicaux dans la perspective d un Sep 24 2025 nbsp 0183 32 Bienvenue sur le site de la communaut 233 Air Defense d 233 di 233 224 la d 233 fense et l a 233 ronautique Un sous marin nucl 233 aire lanceur d engins am 233 ricain a tir 233 successivement
More picture related to Defense Mechanism Meaning Easy

Ego Defense Mechanism Part II Psychology Class Psychology Course
https://i.ytimg.com/vi/n80PkTs9EUU/maxresdefault.jpg

Quiz Which Of These Defense Mechanisms Do You Lean On 49 OFF
https://osmose-it.s3.amazonaws.com/HarRKioMSe6v697kLBwEzbvvS5Ky3ETU/_.jpg

Score 9 Score 8 up Score 7 u Image Created By Tensor Art
https://image.tensorartassets.com/cdn-cgi/image/anim=false,plain=false,w=2048,f=jpeg,q=85/model_showcase/737014107636733485/6d501f72-a3b3-54b4-5245-d55b8d31929e.jpeg
Sep 9 2025 nbsp 0183 32 Bienvenue sur le site de la communaut 233 Air Defense d 233 di 233 224 la d 233 fense et l a 233 ronautique MBDA d 233 voile l Akeron MBT 120 un missile pouvant 234 tre tir 233 par le canon d un Sep 25 2019 nbsp 0183 32 Windows10 Windows Defender SmartScreen
[desc-10] [desc-11]

Ego Defense Mechanisms Google Search Psychology Notes Clinical
https://i.pinimg.com/originals/8a/65/39/8a65396e7c69909dd8705c61747151d4.jpg

Psychology Study Guides Helpful Professor
https://helpfulprofessor.com/wp-content/uploads/2022/12/sublimation-in-psychology-definition-examples-768x543.jpg
Defense Mechanism Meaning Easy - Bienvenue sur le site de la communaut 233 Air Defense d 233 di 233 224 la d 233 fense et l a 233 ronautique Le Service de sant 233 des arm 233 es r 233 organise ses centres m 233 dicaux dans la perspective d un