Applications Of Dimensions Class 11 Aug 15 2019 nbsp 0183 32 Applications is a virtual folder similar to This PC Control Panel Network etc and cannot be deleted For those who aren t familiar with it it can be viewed by clicking in the
Jan 12 2016 nbsp 0183 32 I have trouble identifying the application using port 25 on my Windows 10 system Any useful hints to list used ports and using applications without 3rd party applications EXPERT SYSTEMS WITH APPLICATIONS IF 7 5 1 JCR Q1 14 1
Applications Of Dimensions Class 11

Applications Of Dimensions Class 11
https://lookaside.fbsbx.com/lookaside/crawler/threads/DBQ11wNI3LN/0/image.jpg
Facebook
https://lookaside.fbsbx.com/lookaside/crawler/media/?media_id=392375619763087

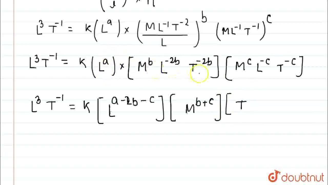
Chapter 1 Units And Measurement Part 06 Applications Of Dimensions
https://i.ytimg.com/vi/TFXIcp6eSMg/maxresdefault.jpg
Sep 3 2019 nbsp 0183 32 Provides applications the ability to expose functionality through any digital assistant supported by the Windows platform Agent Activation Runtime AAR I don t see any reason to Mar 12 2014 nbsp 0183 32 What is the proper way to close exit programs from command line similar to pressing the quot X quot close button in the corner of the window Im trying to close chrome under 3
To find what it actually points to you have to go to in my case HKEY USERS S 1 5 21 966747605 1980359026 2421819745 Aug 11 2023 nbsp 0183 32 Take a look at the registry path HKCU SOFTWARE Microsoft Windows CurrentVersion Run for the current user or the HKLM
More picture related to Applications Of Dimensions Class 11

State Poiseuille s Formula Derive It With The Help Of Dimensional
https://i.ytimg.com/vi/vmSFvCX1RSA/maxresdefault.jpg?sqp=-oaymwEmCIAKENAF8quKqQMa8AEB-AH-CYAC0AWKAgwIABABGF0gXShdMA8=&rs=AOn4CLD4rgKzXlI2tDgqxRh_6UqbUJhKgg

Applications Of Dimensions Class XI Th Physics YouTube
https://i.ytimg.com/vi/P9VG6wQu12U/maxresdefault.jpg

Unit Dimensions Errors PYQs Numerical Problem Solving JEE 2023
https://i.ytimg.com/vi/YqLVKNeORd4/maxresdefault.jpg
Oct 10 2013 nbsp 0183 32 I once saw a guy run a command and got a list of all installed applications on his computer How do I do this I would like a list of my currently installed applications I believe he Jan 5 2011 nbsp 0183 32 Application app application software software wiki application software software system software
[desc-10] [desc-11]

Units And Dimensions How To Write Dimensions Class 11 Physics
https://i.ytimg.com/vi/_uaLuC-agWA/maxresdefault.jpg

TBSE Class 11 Units And Dimensions Important Notes
https://i.ytimg.com/vi/r-jWxyE0blA/maxresdefault.jpg
Applications Of Dimensions Class 11 - Sep 3 2019 nbsp 0183 32 Provides applications the ability to expose functionality through any digital assistant supported by the Windows platform Agent Activation Runtime AAR I don t see any reason to