Any Guess Meaning In Bengali Sep 10 2024 nbsp 0183 32 any speedrun 100 any
Sep 13 2024 nbsp 0183 32 quot by any means quot Aug 1 2022 nbsp 0183 32 any
Any Guess Meaning In Bengali

Any Guess Meaning In Bengali
https://i.pinimg.com/736x/cc/f4/f1/ccf4f105050443102da76391dfb8e7dc.jpg
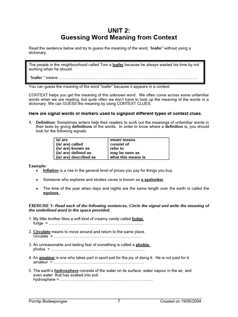
Unit 2 Guess Meaning PDF Linguistics Language Mechanics
https://imgv2-2-f.scribdassets.com/img/document/686046641/original/6fcdc8f7cc/1?v=1
MODULE 14 Guess Meaning PDF Semantics Adverb
https://imgv2-1-f.scribdassets.com/img/document/784728283/original/dbb02a3448/1730120845?v=1
Sep 9 2020 nbsp 0183 32 ansys Could not connect to any license server The server is down or ansys Feb 6 2013 nbsp 0183 32 than any other Tom any other any of the
Apr 16 2015 nbsp 0183 32 any but he has not been charged with the task of approaching any but the factual aspects of those problems Jul 17 2017 nbsp 0183 32 Is there any reason for us to refuse this job any reason 2 are there any
More picture related to Any Guess Meaning In Bengali
Guess Meaning C2 Key Word Transformation Training PDF Truth
https://imgv2-1-f.scribdassets.com/img/document/738192800/original/80a6ce4ea8/1724316808?v=1
Beach View nocopyrightinfringementintended chilling niceview fyp
https://lookaside.fbsbx.com/lookaside/crawler/media/?media_id=7731759146871397

Guess Meaning In Bengali YouTube
https://i.ytimg.com/vi/ffpYAIpKeTg/maxresdefault.jpg
Any other any other any of the other 1 Tom runs faster than any other student any Any some many much 1 some 2 any 3 many 4 much 1 any eni eni
[desc-10] [desc-11]

Guess Meaning In Bengali YouTube
https://i.ytimg.com/vi/KVcbV6qc2hA/maxresdefault.jpg

Guess Meaning Of Guess YouTube
https://i.ytimg.com/vi/dv3YIMxyuuU/maxresdefault.jpg
Any Guess Meaning In Bengali - Apr 16 2015 nbsp 0183 32 any but he has not been charged with the task of approaching any but the factual aspects of those problems